全国服务热线

13363683360

公司公告:你需要的,我们都有 产品齐全、质量上乘、价格合理、发货及时、售后完善
保护防护金具
联系方式

地址:河北省河间市行别营工业区

手机:13363683360(韩经理)

Q Q:1285665616

邮箱:1285665616@qq.com

绝缘子|绝缘子|复合绝缘子|玻璃绝缘子|支柱绝缘子|电力金具厂家-河间天恒电力器材left图
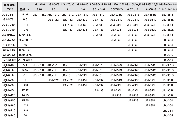
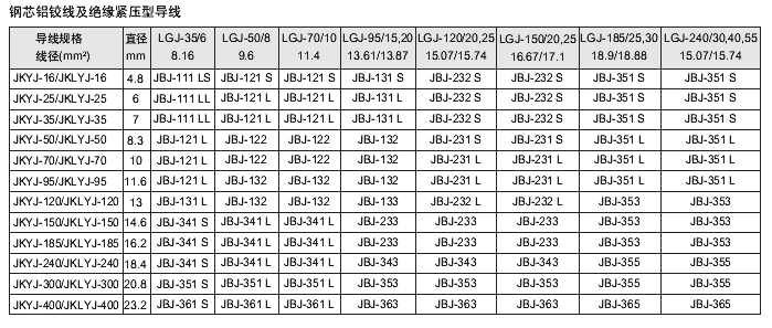
JBJ并沟线夹

日期:2018-09-27 12:05:08

点击:

  

JBJ并沟线夹

JBJ并沟线夹
  • 国标代号 : JBJ异形并沟线夹
  • 同类产品其他厂家代号 : JBJ异形并沟线夹
JBJ异形并沟线夹
 

详细描述

 

 

 


TAG标签:

JBJ并沟线夹
官方QQ 河间市天恒电力器材有限公司